(面试:11月8日)遵义市务川县公安局2025年面向社会公开招聘警务辅助人员体能测评合格进入下一环节人员名单公示
更新时间:2025-11-04 贵州黔贤教育:整理发布 点击量:次
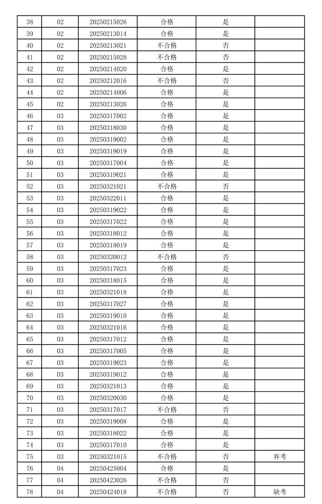
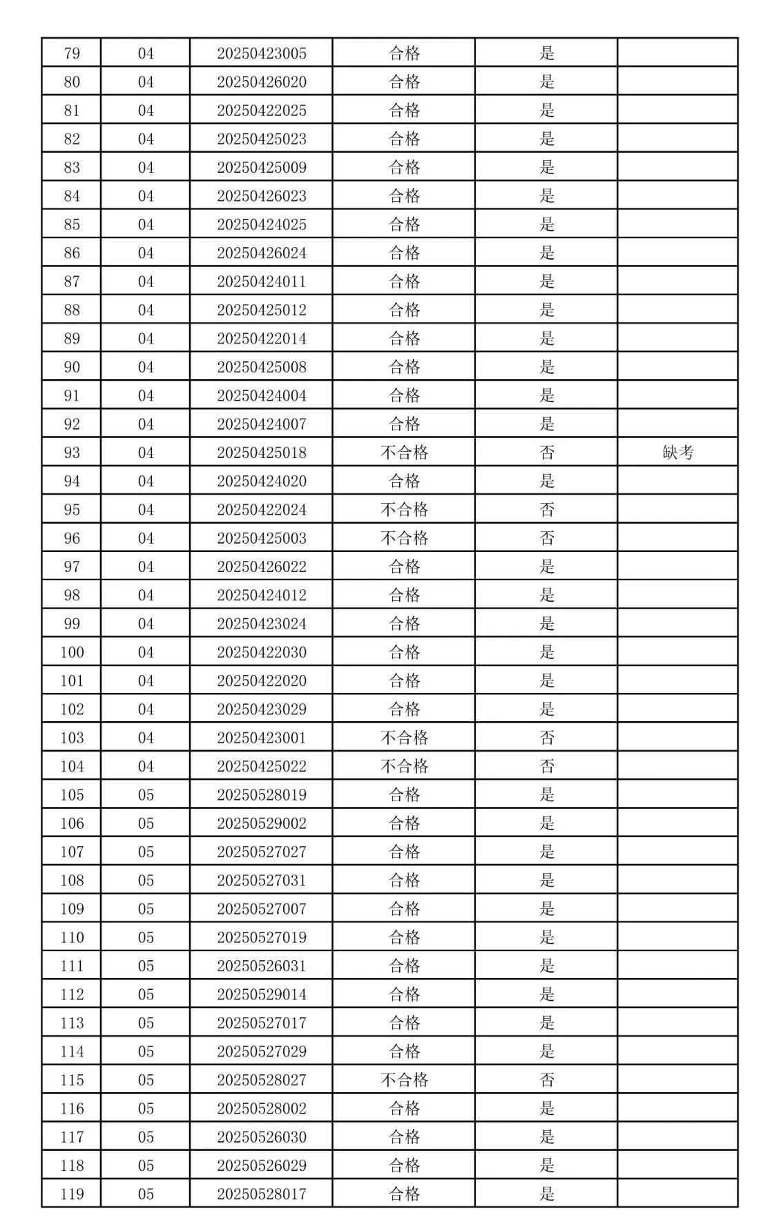
根据《务川自治县公安局2025年面向社会公开招聘警务辅助人员公告》相关规定,现将体能测评合格及是否进入下一环节(面试)人员名单予以公示(详见附件)。
公示时间:2025年11月3日-2025年11月5日。
如有异议,请于公示期内以书面形式向务川自治县公安局警务辅助人员招聘工作领导小组办公室反映。
另将面试有关事宜通知如下:
一、面试对象
所有体能测评合格的考生。
二、面试时间及地点
1.面试时间:2025年11月8日9:00开始。面试考生需在8点前到达考点,由工作人员组织入场、抽签,确定面试顺序。8点10分前未到达考点参与抽签排序者,视为缺考;
2.面试地点:务川自治县中等职业学校。
三、面试准考证打印时间及方法
2025年11月7日8:00至11月8日8:00期间,进入面试环节的考生请自行登录“网上报名系统”(http://zymwrl.pzhl.net),下载打印《面试准考证》。逾期不打印者,视为自动放弃,后果由考生自行负责(为防止网络出现异常问题,建议考生妥善安排准考证打印时间,打印多份备用,尽量不要在规定时间的最后时刻打印)。
四、注意事项
1.各考生须带齐相关考试证件(有效居民身份证、面试准考证);
2.各考生应提前熟悉考点及相关乘车路线,安排好出行时间及路线,考试当日提前抵达考点,避免因交通拥堵或其他因素影响考试;
3.各考生需关注“平安务川”微信公众号,查看相关公告,如因未阅读公告导致未能参加考试的,取消进入下一环节资格,后果由考生自负;
4.由于考点停车条件有限,不提供停车服务,请各考生妥善选择出行方式。
咨询电话:0851-25628995
监督电话:0851-25624335
附件:务川自治县公安局2025年面向社会公开招聘警务辅助人员体能测评成绩及是否进入面试环节人员公示名单




务川自治县公安局警务辅助人员
招聘工作领导小组办公室
2025年11月3日




高分课堂


日常剪影


校区环境


上一篇:(复审:11月4日-5日)六盘水市大学生乡村医生专项计划公开招聘工作人员笔试成绩排名及资格复审公告
下一篇:(体检:11月6日)遵义市道真自治县公安局2025年面向社会公开招聘警务辅助人员总成绩及是否进入下一环节(体检)人员公示
声明:本网站部分内容来源于网络搜集及网友投稿,由本站编辑整理发布,仅用于学习交流使用,非盈利目的,如涉及侵权请联系本站管理员进行删除或修改。
在线预约报名
如需咨询课程,可以留下您的联系方式,工作人员看到后会尽快联系您



